Wie wird eine ECC2 korrekt installiert?

Für eine sachgemäße Installation der ECC2 sind folgende Punkte zu beachten:

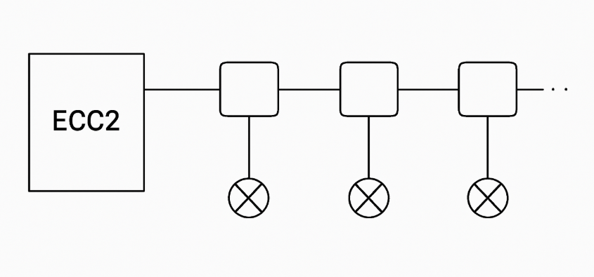
  • Gleichmäßige Verteilung der Abgänge:
    Die sechs Abgänge auf der linken Gehäuseseite der Anlage sollten gleichmäßig auf die anzuschließenden Leuchten verteilt werden.

  • Verkabelung strukturieren:
    Es sollte möglichst nur eine Zuleitung und eine IY(St)Y-Leitung in die Leuchte eingeführt werden. Hierzu empfiehlt es sich, Verteilerdosen zu setzen. Diese sollten sich möglichst in unmittelbarer Nähe zur jeweiligen Leuchte befinden. Die Linienstruktur des Busses ist dabei beizubehalten.

  • Busanschlüsse korrekt anschließen:
    Die Busleitungen A und B dürfen an den Leuchten nicht vertauscht werden, da dies die Kommunikation beeinträchtigt. Zusätzlich muss die Masseleitung (⊥) mit angeschlossen werden, um eine stabile Buskommunikation sicherzustellen.

  • Busabschlusswiderstand setzen:
    Am Ende der Buslinie ist ein 120-Ohm-Abschlusswiderstand zu setzen. Dieser befindet sich im Auslieferungszustand an den Abgangsklemmen der ECC2.

  • Leitungsquerschnitt beachten:
    Die Klemmen der ECC2 sind für Leiterquerschnitte bis 2,5 mm² ausgelegt. Ein Querschnitt von 1,5 mm² ist jedoch ausreichend und erleichtert die Installation erheblich.


#Anschluss #Bus #Netz #ECC2
Tags